编者综述:此篇文章是关于鼻腔给药系统的最xin进展和未来展望的综述,讨论了几种有前景的吸收促进剂和吸收调节剂系统,如CPE-215®、Intravail®、ChiSysTM、PecSysTM和CriticalSorbTM,它们由不同的公司开发用于小分子药物和生物药物的鼻腔给药,旨在提高药物的生物利用度和疗效,同时减少长期给药可能引起的毒性问题,预示着未来鼻腔给药领域将有新产品上市,尤其是在肽和蛋白质药物的递送方面。
鼻腔给药的最xin进展和未来展望
作者:Lisbeth Illum
摘要:
本综述旨在讨论吸收促进剂和吸收调节剂系统的最xin发展和前景,这些系统是由专门从事正常小分子量药物和生物药物(如肽和蛋白质)鼻腔给药的公司商业化开发的。本综述中选择讨论的吸收促进剂系统是那些最有希望的临床前或临床数据、足够的毒理学数据或公司努力开发以保证在上市产品中使用的系统,例如CPEX Pharma开发的CPE-215®(氮酮环庚完(氮酮))、Aegis Therapeutics开发的Intravail®(烷基糖)、Archimedes Pharma开发的ChiSysTM(壳聚糖)和PecSysTM(低甲基化果胶)和Critical Pharmaceuticals开发的CriticalSorbTM(1,2-羟基硬脂酸聚乙二醇单双酯(70%),聚乙二醇(30%))。
2012年在Elsevier B.V.出版
关键词:鼻腔吸收促进剂、Intravail®(烷基糖)、ChiSysTM(壳聚糖)、PecSysTM(低甲基化果胶)、CPE-215®(氮酮)、CriticalSorbTM(聚乙二醇羟基脂肪酸酯)
1. 引言
通过研究药房现有的大量鼻喷雾剂产品可以认识到,特别是在美国,鼻腔主要用于治疗上呼吸道局部疾病,如鼻塞、鼻腔感染和鼻腔过敏性疾病,如过敏性鼻炎。然而,在过去的几十年里,鼻腔也被用于小分子药物的全身递送,特别是在需要快速起效的情况下[1,2]。已上市的此类鼻用产品有治疗偏头痛的药物,如唑马普坦(Zomig®)、舒马普坦(Imitrex®)和酒石酸丁托啡诺(Stadol NS),治疗剧烈疼痛的药物,如分太尼(PecFent®;Instanyl®),用于吸烟戒烟(Nicorette®)和治疗更年期症状(Aerodiol®)。这些产品都不含鼻吸收促进剂,因为这些分子通常具有足够的亲脂性,使药物的治疗水平能够达到体循环。然而,许多其他更亲水的小分子量药物,如ma啡,为了穿透鼻膜,需要鼻腔促进剂,以便在鼻膜上运输足够数量的药物用于治疗。
多年来,鼻腔作为多肽和蛋白质进入体循环的有效途径的可行性也得到了评估。其目的是获得血液中药物治疗的相关水平和足够的生物利用度,从而产生可行的上市产品[1,3 -7]。
由于认为肽和蛋白质在粘膜上运输的生理障碍要求较低(例如鼻腔液体的酶含量较低、鼻粘膜的高血管性和鼻膜的较高渗漏性),经鼻途径(例如对比口服途径)有许多潜在的优势。然而,鼻腔吸收肽和蛋白质通常低于1%,并且普遍认为,为了有效地鼻腔递送肽和蛋白质,有必要在鼻制剂中应用鼻吸收促进剂系统。
目前市场上的鼻肽产品包括降钙素(Miacalcin®,诺华;Fortical®,Unigene),去氨加压素(Desmospray®,辉凌制药),布舍瑞林(Suprecur®,赛诺菲-安万特)、那法林(Synarel®,法玛西亚)和催产素(Syntocinon®,Unites Pharmacies UK)。这些肽产品均显示出非常低的生物利用度,但由于获得治疗效果所需的全身水平较低,因此这些产品是有效的。已上市的产品均不含鼻吸收促进剂,很可能是由于上市时已知的吸收促进剂的鼻耐受性差。因此,医学上迫切需要开发和评估新型鼻腔吸收促进剂,以便安全有效地输送其他低效力的生物药物穿过鼻膜,并可能的改善目前上市的肽类药物的生物利用度。
过去的十年里,随着大众在许多科技和消费领域对利用纳米技术感兴趣,使用纳米颗粒系统向身体递送药物(纳米药物)也受到了极大的关注,同时这里面核心关注点在于鼻腔的递送系统。在之前的一篇综述中,Illum [8] 研究了纳米粒子在鼻腔药物输送中潜在成功的证据和背景机制,并得出结论,例如由吸收增强聚合物(如壳聚糖)制成的纳米粒子制剂,在使用相同的聚合物制备出的纳米颗粒溶液或粉末控制系统时,并没有发现能提高治疗药物的效率能超过疗效。在许多论文中还指出,吸收增强聚合物的溶液作为对照没有被包括进去,因此很难判断纳米颗粒处方的效果 [9]。此后,该科学领域的文献中出现了许多新论文,虽然此类纳米颗粒系统已显示出能提高肽和蛋白质疫苗抗原免疫原性的能力 [10,11],但使用纳米颗粒形式的吸收促进剂的绝对益处仍未得到充分证实。
因此,本综述着手讨论吸收促进系统的最xin进展和未来前景,这些系统是由专门从事小分子药物和生物药物(如多肽、蛋白质)鼻腔给药系统的公司开发的商业化产品。本综述中选择讨论的吸收促进剂系统是那些最具有希望的临床前和/或临床数据的系统,包括在效率和安全性/毒性之间有平衡前景的,以及有众多的公司在大力发展中能合理使用于上市产品中。因此,这里不考虑表1中列出的一些内容。当然,期刊难以获得关于公司管线产品的开发状况的最xin信息,因此期刊将讨论从科学出版物中获得的科学信息以及新闻稿或科学会议上提供的信息,目的是尽可能全面地描述各个鼻腔递送系统。另外,在默认情况下,由于缺乏一些信息,一些系统的描述比其他系统更详细。
2.商业化开发的吸收促进剂或调节剂
目前,正在商业化开发一小部分鼻腔吸收促进剂系统,在鼻腔递送系统中,用于递送小分子药物和特定的肽、蛋白质;与过去描述的系统相比,在安全和效率之间,具有更好的毒性平衡的潜力。例子包括CPEX Pharma开发的 CPE-215®(氮酮环庚完(氮酮))、Aegis Ther-apeutics 开发的Intravail®(烷基糖)、Archimedes Pharma开发的 ChiSysTM(壳聚糖)和PecSysTM(低甲基化果胶)以及由 Critical Pharmaceuticals 开发的 CriticalSorbTM(1,2-羟基硬脂酸聚乙二醇单双酯(70%),聚乙二醇(30%))(表1)。
表1 参与吸收促进剂和吸收调节剂商业化的公司
2.1. 氮酮环庚完— CPE-215
CPE-215是由CPEX Pharmaceuticals Inc. 开发的吸收促进剂,适用于鼻粘膜、皮肤和眼睛。氮酮环庚完是一种天然存在于Angelica archangelica中的化合物,具有作为直接和间接食品添加剂和香料的安全记录,并被列入FDA批准用于药物应用的非活性成分列表中(图 1)。没有任何关于该化合物作用机制的公开的信息或讨论。然而,由于分子的表面活性剂性质,促进剂很可能通过与膜相互作用来发挥作用,增加流动性并产生与其他表面活性剂分子一致的跨细胞吸收增强机制。
图1 氮卓环庚完
CPEX开发了一种含有CPE-215的鼻用胰岛素产品(Nasulin®),已在1期和2期临床中进行测试试验。Nasulin®鼻喷雾剂含有溶解在水中的短效人重组胰岛素,另外还有聚山梨醇酯20、山梨醇酐单月桂酸酯(司盘20)、棉籽油和月桂氮酮 [12]。
在一项探索性研究中,八名健康志愿者接受了最多四次单剂量或重复剂量的鼻喷雾剂。鼻内胰岛素(12.5IU-43.8IU)并测量了葡萄糖水平、血浆胰岛素和C肽 [13]。研究表明,该制剂有良好的耐受性和良好的胰岛素吸收性,随着剂量的增加,Cmax和AUC也会增加。另外还发现吸收可以迅速在10-20分钟达到tmax。随后又对13名健康志愿者进行了另一项研究,以评估鼻内胰岛素(25IU)给予4次与皮下胰岛素相比的药代动力学和药效学[14]。发现当制剂在开放(优势)鼻孔中使用时,平均相对生物利用度为12%,对比在开放程度较低(非优势)鼻孔中使用时,平均相对生物利用度为15%。然而,结果之间没有统计学上的显着差异。本文提到,对接受 Nasulin®鼻喷雾剂3个月的2型糖尿病患者进行鼻腔检查,未发现鼻粘膜出现任何炎症反应。这也得到了对大鼠和狗在最大剂量下进行的为期三个月的毒理学研究的支持,这些研究同样没有显示出任何炎症反应。
后来1项研究比较了Nasulin®喷雾剂在七种类型中的药代动力学和药效动力学。1名糖尿病患者,接受安慰剂、皮下胰岛素或 Nasulin®形式的鼻内胰岛素,剂量为25 IU或以上。Nasulin TM 的相对生物利用度在2小时内为16.6–19.8%,在5小时内为14.0–19.8%[15]。这些结果与36名健康吸烟和不吸烟受试者服用Nasulin®鼻喷雾剂(剂量:25IU)后发现的药代动力学相当[16]。不吸烟和吸烟个体之间的胰岛素生物利用度没有显着差异,给药后最初2小时的相对生物利用度分别为9.7±1.7%和14.8±5.9%。
在一项针对8名健康受试者的药代动力学研究中,旨在调查胰岛素的生物利用度。最大鼻内胰岛素剂量可通过在单个鼻孔中重复剂量给予,第一天,志愿者使用Nasulin®喷雾剂(1%)在一个鼻孔中随机给予25、50或75IU的胰岛素剂量,随后两天使用双鼻孔随机给于50、75和100IU胰岛素/CPE-215 [17]。结果表明,单鼻孔反复给药可增加胰岛素的吸收,这不是由于CPE-215浓度的增加,而是由于胰岛素用量的增加。
同样, CPEX最近发表了一项针对24名接受剂量的健康志愿者的研究25IU(1%喷雾剂,单个鼻孔)、35IU(单个鼻孔喷两次0.7%喷雾剂)、50IU(单个鼻孔喷两次1%喷雾剂)、70IU(每个鼻孔喷两次0.7%喷雾剂)和100IU(每个鼻孔喷两次1%喷雾剂)胰岛素,使用Nasulin® 鼻喷雾配方,胰岛素浓度为0.7%或1%[12]。该研究旨在表征两种浓度的Nasulin TM鼻喷雾剂(0.7%和1.0%)的剂量反应。在 0.7%和1.0%胰岛素浓度下,发现PK和PD参数的比例和线性剂量反应,允许在临床开发中使用多个剂量。
然而,2010年3月,2a期概念验证临床试验的结果CPEX Pharmaceuticals Nasulin®上市 (www.news-medical.net)。该研究旨在评估Nasulin®与安慰剂相比,在94名2型糖尿病患者的6 周治疗期内的疗效和安全性。患者还接受口服抗糖尿病药物和基础胰岛素治疗。主要终点是表明,与接受安慰剂治疗的患者相比,接受Nasulin TM治疗的患者的血糖水平正常的平均时间比例较基线有更大的增加。两组之间的差异未发现统计学显着性。然而,与安慰剂相比,进餐挑战显示Nasulin®的最大血糖浓度显著降低,这与研究中发现的情况一致。 该产品的进一步开发被搁置,公司产品线中不再提及Nasulin®。看看产品开发是否会恢复和/或是否会使用CPE-215 吸收促进剂开发其他鼻用肽或蛋白质产品以及用于鼻腔输送的,这将会很有趣。
2.2. 烷基糖 — Intravail®
Aegis Therapeutics开发了一类烷基糖,被命名为Intravail®,显示出某些明确且特定的结构特征(根据烷基链长度和糖基类型),作为有效的跨粘膜吸收促进剂[18-20]。烷基糖类与洗涤剂类似,由极性糖类头部基团(如麦芽糖或蔗糖)组成,并用不同长度的非极性烷基链酯化。在此类分子中,烷基链长度为C14的十四烷基麦芽糖苷(TDM)已被证明是最有效的不同分子的鼻腔吸收促进剂[21, 22](图 2)。
图2 十四烷基麦芽糖苷(TDM)
因此, Ahsan等人[21]在大鼠模型中比较了辛基麦芽糖苷和十四烷基麦芽糖苷作为降钙素(2.2IU)的鼻吸收促进剂,评估烷基链长度对麦芽糖苷吸收增强能力的影响。他们发现0.125% 辛基麦芽糖苷对吸收没有增强作用,而0.125%十四烷基麦芽糖苷显示Cmax从75pg/ml增加到 250pg/ml。将十四烷基麦芽糖苷的浓度增加至0.25%能够使AUC从3.50 pg/ml.min 增加至6.25 pg/ml.min。皮利昂等人[22]研究了一系列烷基糖苷,其中烷基链长度为C8-16的烷基糖苷与麦芽糖相连,链长C10-14的烷基糖苷与蔗糖相连,以了解其经鼻输送胰岛素的效率。他们发现这两种糖的烷基链长度显着影响胰岛素鼻吸收的增强。发现十四烷基麦芽糖苷(C14)对鼻腔胰岛素吸收的影响最大。当进一步增加链长时,没有发现超过十四烷基麦芽糖苷效果的改善。这一发现支持了降钙素的结果[21],也支持了使用C8-14-麦芽糖苷进行低分子量肝素(依诺肝素)的研究[23-25]。
因此,选择十四烷基麦芽糖苷(TDM)用于鼻腔给药的进一步研究,在一系列大鼠研究中进行多种肽、蛋白质和多糖药物的研究[23, 24]。在麻醉大鼠模型中评估了TDM对小分子量肝素(依诺肝素和达肝素)和普通肝素在鼻腔吸收的影响 [23]。结果发现,当100 IU依诺肝素和达肝素(分子量分别为4500和5000 Da)经鼻给药而不使用TDM时,抗Xa因子活性水平不够高,无法发挥治疗效果,而TDM浓度为0.25%时,抗Xa因子活性水平显着增加,观察到血浆水平(Cmax)(约8倍)。未发现普通肝素 (MW5000–30,000 Da) 的抗Xa因子活性水平有足够的增加。与皮下注射相比,依诺肝素的相对生物利用度为23 ± 3.0%。作者强调了吸收促进剂对膜的可逆作用的重要性,并进行了一项作用持续时间的评估。发现当TDM和依诺肝素同时给药时,与对照相比,抗因子Xa活性水平增加了9倍,当给药间隔1h或使用TDM间隔2h后,抗Xa因子活性水平分别仅增加了五倍和两倍。对于后面的实验,抗Xa因子活性水平低于治疗水平。
Arnold等人[26]在麻醉大鼠模型中评估了TDM对胰岛素(5.7 kDa)、瘦素(16 kDa)、生长激素(22.1kDa)和重组人促红素(30.4 kDa)四种不同蛋白质在鼻腔吸收的影响,并与皮下注射上述相同药物的影响进行比较,评估了0.06%、0.125%、0.25%和0.50% 的TDM浓度。对于上述研究的任何TDM浓度中,未发现重组人促红素在鼻内吸收有显着的增加,而对于胰岛素和瘦素,0.06% TDM或更高的浓度可显着增加生物利用度。对于生长激素,需要 0.125%或更高的TDM浓度。在TDM为0.125%时,生长激素、瘦素和胰岛素的生物利用度分别为31%、59%、55%。在TDM浓度为0.50%时,这些结果分别增加到80%、88%和77%。
然而,应该指出的是,这些结果是在麻醉大鼠模型中获得的,并且已经表明,粘纤毛清除机制由于该模型中的麻醉剂受到损害,因此与非麻醉大鼠相比,预计吸收率更高,因此生物利用度更高[27]。同样,预计大型动物的生物利用度会较低 [28],尽管AegisPharmaceuticals尚未发表关于使用 IntravailTM在高等动物物种中瘦素、生长激素和重组人促红素的鼻腔生物利用度的数据。
在大鼠的鼻粘膜组织研究发现,0.125%浓度的TDM引起鼻上皮细胞形态的中度改变,且 吸收促进剂浓度越高,对鼻粘膜的影响越严重[29]。作者从综合生物利用度研究和形态学发现中得出结论,吸收增强作用的可能方法是刺激内吞作用速率和增加膜的流动性,而不是打开紧密连接。然而,后来的一项研究表明,用烷基糖处理人气管/支气管细胞培养物后,跨上皮电阻 (TEER)显着降低,因此表明吸收增强的机制也可能部分通过细胞旁途径进行。目前尚不清楚哪种吸收途径是主要的运输途径[18, 29]。阿诺德等人的研究中值得注意的是[26],认为吸收程度取决于药物的分子量,这通常发生在通过细胞旁途径运输的药物中。然而,对于通过跨细胞途径转运的药物,也可以用药物与胶束形式的表面活性剂(如促进剂)之间的相互作用来解释。在研究中,分子越小,获得显着改善吸收所需的TDM浓度就越低。因此,在制剂中可能存在最佳比例的药物和表面活性剂,对于较大的分子,少量的分子可以与一个胶束相互作用。
Arnold等人后来证明了这一点[30]。在大鼠模型中,应用浓度为0.125%的TDM后,看到鼻粘膜发生的变化(纤毛损耗和细胞与细胞连接难以观察)是短暂的,因为鼻粘膜会在用药后1-2小时内开始恢复。进一步的研究发表了关于速效、常规和长效类型胰岛素的鼻腔给药,并证实需要0.125%TDM的浓度才能在大鼠中获得显着的鼻腔吸收[31]。进一步发现,应用的胰岛素类型对于吸收程度很重要。
在2008年,Aegis Therapeutics与ZelosTherapeutics(最近更名为Azelon Pharmaceuticals)就开发ZT-031(OstabolinCTM),cyclicPTH1–31,)甲状旁腺激素 (PTH) 类似物达成一致协定,作为鼻用产品,采用 Intravail®技术。Zelos Therapeutics在互联网上发布了一张海报,描述了使用ZT-031和N-十二烷基-β-D-麦芽糖苷 (DDM) 作为鼻促进剂系统对大鼠、兔子和猴子进行的研究[32]。研究表明,在所有三种动物模型中,0.18%浓度的DDM在ZT-031中,是有效的鼻腔吸收促进剂,与5–10分钟的tmax皮下注射相比,在非人灵长类动物中实现了35-40%的相对生物利用度,且tmax为15分钟。鼻用ZT-031的临床开发显然没有进一步进展,而皮下注射产品正处于临床3期。Zelos Therapeutic网站上发布的新闻稿(2010年1月28日)宣布,一项关于PTH 1-34 (ZT-031) 鼻用制剂的临床1期研究已经启动。2011年10月11日,Azelon宣布ZT-031在人体安全性和药理学研究中初步显示出良好的前景,并计划因此进行II期研究
2011年12月14日,Neurelis,Inc.宣布,他们的鼻内地xi泮(使用 Intravail®作为吸收促进剂)在明尼苏达大学对正常志愿者进行的随机交叉研究中实现了96%的绝对生物利用度
在2010年1月25日,大型跨国仿制药公司Dr. Reddy's宣布“迄今为止完成的成功人体研究的结果将提供独特的产品,满足市场的重大需求,但特定的药物和正在进行人体试验的详细信息尚未公布。在我看来,Intravail®鼻部技术非常有前途,具有明显良好的毒理学特征(至少对于较低的使用浓度而言),并且在包括非人类灵长类动物在内的一系列动物模型中对一系列肽产生了一些令人印象深刻的结果。然而,到目前为止,尚未发表有关Intravail®促进剂系统的慢性鼻毒性研究结果的报告,确认此类表面活性剂系统可以长期经鼻应用而不会产生明显副作用是非常重要。在人类中研究的药代动力学和药效学的证据,是否会发现同样高的生物利用度也是有趣的。值得注意的是,Aegis Therapeutics与两个未公开的研究合作伙伴之间的合作,尚未发表关于在2005年6月6日新闻中发布的用于治疗2型糖尿病的鼻腔递送化合物的专有制剂的任何结果。
2.3. 壳聚糖— ChiSys®
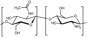
Archimedes Pharma正在开发壳聚糖,指定为ChisysTM,作为鼻腔给药系统,用于输送多种药物。壳聚糖,存在于甲壳类动物的壳中,由甲壳素(一种多糖)脱乙酰化产生,带正电荷,由葡萄糖胺和N-乙酰葡萄糖胺的非支链聚合物组成(图 3)。
图3 壳聚糖
研究最广泛的壳聚糖类型是谷氨酸或盐酸盐,其脱乙酰度约为85%,分子权重范围为150 kDa–250 kDa。同样重要的是,壳聚糖由于其正电荷而具有生物粘附性,从而可以在鼻腔中停留更长的时间[33, 34]。壳聚糖已被证明是小分子量药物以及肽和蛋白质的有效鼻腔吸收促进剂[35-38]。细胞培养和动物模型已经证明,壳聚糖增强吸收的机制是粘膜中紧密连接的短暂打开以及生物粘附特性[39, 40]。通过分析壳聚糖对Caco-2细胞单层紧密连接的细胞组分的影响,发现壳聚糖通过对胞质蛋白、膜蛋白ZO-1和闭合蛋白(是系统维持紧密连接,紧密性的一部分)紧密连接的破坏进入胞液[41]。该小组还表明,这是由蛋白激酶C激活机制的激活行为引起的[42]。此外,壳聚糖已被证明无刺激性,具有较低的局部和全身毒性[39,43,44],DMF已向美国 FDA和欧洲EMA备案。
值得一提的是,壳聚糖的pKa为6.3,高于pKa时不溶于水。这对于一些经粘膜途径(例如口服递送)的适用性而言是一个限制,但对于鼻腔药物递送来说并不重要,因为鼻腔中的正常pH值在pH 5.5和6.0之间。众所周知,壳聚糖作为一种分子,当注射到体内时,对巨噬细胞和NK细胞具有免疫激活作用 [45],但这种作用在鼻腔应用后并不明显,因为壳聚糖不会在任何程度上通过鼻上皮转运 [46]。早期研究发现壳聚糖是ma啡经鼻给药的有效吸收促进剂[37]。绵羊模型研究表明,与生物利用度约为10%的简单ma啡溶液相比,含有0.5%壳聚糖谷氨酸盐的ma啡鼻用制剂(Sea Cure G210)的生物利用度为26.6%,吸收率增加(tmax14分钟)。壳聚糖和ma啡的粉末制剂获得了较高的54.6%生物利用度。对12名志愿者进行的1期临床试验表明,该制剂具有良好的耐受性,含有鼻用壳聚糖粉末和鼻用壳聚糖溶液的制剂的生物利用度均能达到56%。进一步发现,人类志愿者血浆样本中ma啡代谢物M-3-G和M-6-G的水平与静脉注射后的水平相似,远低于口服ma啡后的水平。这是由于鼻腔给药后直接进入体循环,因此类似于静脉注射[37]。
壳聚糖-ma啡溶液制剂对14名癌症患者治疗突发性疼痛(研究期间发生20次)的效果进行了评估[47]。发现鼻用制剂对患者来说高度可接受,大多数患者鼻部症状为“无”或“轻微”,给药后5分钟疼痛开始缓解。
Javelin Pharmaceuticals进一步开发了鼻用壳聚糖-ma啡制剂,用于治疗急性中度至重度疼痛,例如产品— RylomineTM。在一项安慰剂对照的2期临床研究中,拔除智齿后,225名出现中度至重度疼痛的患者被随机分配,并给予两种不同剂量的鼻用壳聚糖-ma啡(7.5mg或15mg)制剂或静脉注射(7.5mg)或口服ma啡(60mg)[48]。研究结果包括总疼痛缓解、疼痛强度差异、总疼痛强度差异、镇痛起效时间、请求救援药物的时间以及患者对治疗的评价。所有四种ma啡治疗均优于安慰剂,两种鼻腔ma啡剂量的疗效结果与静脉注射和口服剂量相似。对于疼痛缓解的开始,较高的鼻腔ma啡剂量与静脉注射剂量产生相似的结果。研究药物通常具有良好的耐受性。在另一项2期临床试验中,拇囊炎切除术后,187名有中度至重度疼痛的患者以随机方式接受鼻用ma啡(3.75mg、7.5mg、15mg或30mg)、静脉注射ma啡(7.5mg)或安慰剂。主要研究结果是疼痛缓解的剂量反应评估,次要研究结果是疼痛强度、疼痛缓解、救援药物时间和患者对治疗的评价[49]。鼻腔剂量呈线性剂量反应。静脉注射剂量和至少7.5mg鼻剂量均在30分钟内实现疼痛缓解。研究中测得鼻腔制剂的生物利用度在60%至83%之间, 略高于1期临床试验的结果。Javelin Pharmaceuticals(现为Hospira Inc.的子公司)已完成鼻用ma啡产品的3期研究,但是Javelin的网站上没有提供有关RylomineTM产品的可能上市日期的信息。
关于,在动物模型中完成的,将壳聚糖作为吸收促进剂的多肽和蛋白质鼻腔递送的研究已经公布发表。例如,在绵羊身上测试了三种不同的含壳聚糖的戈舍瑞林(一个LHRH 类似物)鼻溶液或粉末制剂,并与鼻用戈舍瑞林对照和皮下注射的戈舍瑞林进行了比较[36]。结果发现,与皮下注射相比,壳聚糖微球制剂的生物利用度最高(36.6%),壳聚糖粉末制剂为25.6%,壳聚糖溶液制剂为11.6%。鼻用戈舍瑞林对照的生物利用度为1.5%。鼻剂量为40~45μg/kg。在这项研究中可以看出,以粉末形式给药时,壳聚糖的效果更明显,很可能是因为壳聚糖粉末会在鼻腔中形成凝胶,因此比壳聚糖溶液保留的时间更长,正如Soane等人的羊模型和人类模型展现出的一样[33, 34]。
通常,预计肽和蛋白质药物穿过粘膜的转运程度将高度依赖于它们的分子量,即分子越大,转运越少。在存在吸收促进剂的情况下也是如此。因此,与分子量为1270 Da的戈舍瑞林相比,预计分子量为22,000 Da的药物(例如生长激素)的吸收要少得多。Cheng等人报道了使用壳聚糖粉末的混合物和含PVP和壳聚糖的颗粒制剂的生长激素在绵羊鼻内的吸收情况[50]。结果表明,与皮下注射相比,两种壳聚糖制剂的生物利用度约为15%。鼻腔给药的药代动力学参数显示出比皮下给药更高的变异性,这被解释为给药方法的问题。通常情况下,鼻腔给药剂量的变异性与皮下注射相同或更少(在人类中)。目前还没有关于比大鼠更高级的动物中使用 Intravail®鼻吸收生长激素的公开数据,因此不可能对壳聚糖和Intravail®吸收促进剂的效率进行比较。然而,预计非人类灵长类动物和绵羊的鼻吸收比麻醉大鼠要低得多[38, 40]。
壳聚糖也被证明是鼻腔疫苗(例如流感和白喉)的有效递送系统[45, 51]。因此,在早期研究中,将包含壳聚糖和纯化表面抗原(B/巴拿马流感疫苗)的溶液制剂以10μg的初始剂量给予小鼠,并在30天和57天后进行两次加强剂量。将鼻腔制剂的免疫反应与皮下注射疫苗的免疫反应进行比较,结果发现,鼻用壳聚糖流感疫苗的IgG反应与皮下注射疫苗的IgG反应非常相似,而鼻用对照疫苗的IgG水平很低。局部免疫的促进表现为鼻腔分泌性免疫球蛋白A(IgA)的产生。鼻对照和皮下注射疫苗的鼻洗液中发现的IgA水平极低,而壳聚糖鼻疫苗后的 IgA水平明显较高。
根据这些研究,鼻壳聚糖流感疫苗(7.5或15μg,两次剂量间隔4周)在61名健康志愿者中进行了评估,并与传统IM疫苗进行了比较,传统IM疫苗均包含三价水性亚单位疫苗 (Solvay Pharmaceuticals B.V.),含源自于甲型流感/悉尼/5/97(H3N2)、A/北京/262/95(H1N1)和B/山梨县/166/98的血凝素蛋白和神经氨酸酶 [52]。给药后126天检测所有三种成分的血清血凝抑制剂(HI)效价。鼻腔给药后的血清HI滴度低于IM给药后的血清HI滴度,但超过40%的接种鼻腔制剂的志愿者产生的血清HI抗体增加了4倍,表明有效的免疫反应,并且这些志愿者中70%的人出现了3种疫苗抗原中至少有2种HI的效价>40(表明保护水平),因此满足专利药品委员会1997年提出的流感疫苗要求[53]。虽然本研究中没有报道局部分泌抗体的诱导,但根据对小鼠的研究,预计这种局部免疫反应会存在。
一系列关于壳聚糖用于免疫治疗的研究也已发表。在一系列动物模型中鼻腔输送白喉疫苗[45, 54]。在对幼稚小鼠进行的一项初步研究中,评估了有无壳聚糖一起给药的四种鼻剂量的CRM197(一种甲醛稳定的重组白喉类毒素),结果发现,与不含壳聚糖的对照组相比,壳聚糖能诱导改善的免疫反应(以IgG滴度表示)[45]。这些动物接受了5-20μg的剂量,并在第28天和第54天接受了两次加强剂量。给药后第54天和第70天获得了非常好的IgG滴度,类似于腹腔注射对照获得的滴度。对于鼻洗样品,当使用壳聚糖时,所有剂量均发现高水平的IgA,而腹腔内注射的CRM197对照则没有发现任何反应。所有鼻用壳聚糖制剂还通过抗原刺激脾细胞引起阳性增殖反应,并且由于中等水平的IL-5(显示Th2反应)。在对照鼻腔制剂中没有发现这种情况。
在已免疫的小鼠中进行了进一步的研究,以模拟发达国家的情况,在这些国家,大多数人
在幼儿期就接种了白喉疫苗[54]。小鼠在第一天被给予10μg CRM197,然后在第28天再次给予小鼠。准备静脉注射白喉毒素的小鼠或鼻腔使用壳聚糖-CRM197的制剂,依次是鼻用壳聚糖-CRM197制剂,腹腔注射剂或鼻用CRM197制剂。我们可以发现如果小鼠先进行腹腔注射,再用加强剂量的腹腔注射和鼻壳聚糖-CRM197制剂给药后,IgG滴度是相同的。但如果在加强鼻壳聚糖-CRM197制剂剂量之前先用鼻壳聚糖-CRM197制剂,则鼻腔引发的IgG水平较低。鼻增强剂量的壳聚糖-CRM197制剂并经过腹腔注射预处理的动物能分泌最高水平的IgA,该组还显示出显著水平的IL-5和γ-干扰素,表明混合Th1 /Th2水平。在一项针对幼稚豚鼠的研究中,评估了鼻用壳聚糖粉末制剂与以10或20μg剂量提供CRM197的壳聚糖溶液制剂相比的效果 [45]。对于IgG和IgA诱导,鼻用壳聚糖-CRM197粉末制剂被发现明显优于溶液制剂。
因此,在1/2期中,20名健康成年志愿者经鼻给药50μg剂量的CRM197鼻粉配方,含或不含壳聚糖[55]。对照是单次肌肉注射的标准铝吸附白喉类毒素疫苗。志愿者均在5年多前接受过白喉疫苗接种。结果表明,单次鼻腔免疫具有良好的耐受性,并增强了志愿者现有的抗毒素中和活性。随着第二剂(加强剂)的出现,这种反应有所增强。中和活性超过了普遍接受的保护水平,与标准肌注剂量疫苗接种后获得的水平相似。该研究的有趣之处还在于,鼻腔抗毒素sIgA水平仅在第二次给药后才发现,并且仅在施用该制剂的鼻孔中发现。
尽管已收集了大量关于含有壳聚糖的鼻腔制剂的人体临床数据,700名人类志愿者和患者进行了超过2000次的给药[50],市场上仍然没有含有壳聚糖作为鼻腔吸收促进剂的鼻腔产品(无论是小分子量药物、肽、蛋白质还是疫苗)。然而,预计鼻用ma啡产品RylomineTM 将在可预见的将来进入市场。还值得注意的是,Archimedes Pharma的网站不包含任何使用壳聚糖开发用于输送肽和蛋白质药物的新产品的信息。然而,该公司的新闻稿显示,Archimedes斯公司在欧盟的资助下,利用ChiSys技术开发禽流感疫苗。这一进展始于2008年,但迄今为止公布的数据很少。此外,LigoCyte已授权ChiSys用于鼻诺如病毒VLP疫苗,以预防急性胃肠炎 (AGE),并在美国传染病协会(IDSA)2010年年会新闻稿中(2010年10月)报道描述了 I/II 期临床试验的积极结果。试验表明,在84名接受病毒攻击的成年志愿者中,鼻疫苗将AGE的发病率从 69.2%降低至36.8%,将诺如病毒感染的发病率从82.1%降低至60.5%。因此,鼻用ChiSys疫苗很可能在未来进入市场。
2.4. 低甲基化果胶— PecSysTM
PecSysTM是Archimedes Pharma正在开发的基于果胶的鼻腔药物递送系统。果胶是一种由α-1,4键连接的半乳糖醛酸单元组成的多相多糖,在主链或侧链中含有半乳糖、木糖、鼠李糖和阿拉伯糖等中性糖的成分(图4)。
图4 低甲基化果胶
果胶的凝胶特性很大程度上受半乳糖醛酸酯化程度的影响。高甲氧基 (HM) 果胶的酯化度 (DE) >50%,而低甲氧基果胶的DE为<50% [56, 57]。PecSysTM是一种基于LM果胶的输送系统,以溶液形式给药至鼻腔,并设计为在与鼻粘膜表面接触时形成凝胶。凝胶的形成是由于LM果胶与粘膜液中存在的Ca+离子相互作用而发生的。PecSysTM不能被视为吸收促进剂系统,而是药物的药代动力学特征的调节剂,这些药物在鼻腔中可以被良好的吸收,例如亲脂性药物。这是由于PecSysTM接触鼻粘膜后凝胶化,从而截留药物并在鼻腔中实现更长的停留时间。药物以受控方式从凝胶中释放,从而导致吸收更慢,血浆曲线更长,Cmax更低。
因此,一项针对HT29-MTX 细胞单层的研究,对比了不同果胶与壳聚糖和其他聚合物在提高模型药物穿过上皮细胞渗透的作用能力[58]。结果发现,包括LM果胶在内的果胶降低了药物的渗透性。此外,PecSysTM可以延长作用持续时间,同时降低峰值血浆浓度。果胶是一种食品材料,被FDA认定为一般安全 (GRAS)。Archimedes已经证明了局部耐受性[57]。
Archimedes特别开发了一种鼻用分太尼产品,即使用PecSysTM鼻腔给药系统的PecFent®。已经进行了一系列药代动力学和1期的比较研究,将该制剂与分太尼的其他制剂进行比较[57,59,60]。在一项对18名健康志愿者进行的药代动力学研究中,将分太尼-果胶鼻喷雾剂配方与分太尼-壳聚糖和分太尼-壳聚糖-泊洛沙姆188鼻喷雾剂(所有鼻腔剂量均为100μg)和口腔粘膜分太尼(200μg)进行了比较。与分太尼口溶膜相比,相对生物利用度依次为132.4%、154.1%和122.3% [59]。 在后续研究中,16名未使用过阿偏类药物的健康志愿者(纳曲酮阻滞下)在五次单独就诊中接受了4种不同鼻腔剂量的分太尼果胶(100、200、400、800μg)和1次分太尼口溶膜(200μg)。结果发现,分太尼果胶鼻喷雾剂比口腔经粘膜分太尼具有更短的tmax、更高的Cmax和更高的生物利用度[60]。在另一项1期临床研究中,18名健康志愿者服用了简单鼻用分太尼制剂(不含果胶)(100μg)、鼻用分太尼-果胶制剂(100μg)和分太尼口溶膜(200μg)。结果发现,相对于分太尼口溶膜的生物利用度分别为168%和146%,tmax分别为10、20和90分钟。因此,鼻腔制剂吸收得非常快。正如预期,鼻用分太尼-果胶制剂 (337 pg/ml)的Cmax低于单鼻分太尼制剂 (647 pg/ml),且均高于分太尼口溶膜制剂 (264 pg/ml) [57]。
2期和3期数据也在会议上进行了报告,最近也出现了一些出版物。在一项试点2期研究中,已接受阿偏类药物治疗背景疼痛的癌症患者被滴定至有效剂量的PecFent®。他们因多达四次突发性疼痛事件而接受治疗。5分钟后疼痛缓解有所改善,疼痛强度降低,10分钟后达到临床有意义的水平 [57]。
一项3期研究,涉及114名癌症患者的安慰剂对照、双盲交叉研究,其中 83 名正在经历1至4个月口服阿偏类药物治疗每天的爆发性疼痛,评估了PecFent®的效果[61]。使用PecFent® 或鼻安慰剂治疗至少10次突发性疼痛。与安慰剂相比,PecFent®显着改善了从10分钟到60分钟的平均疼痛强度差异,并且早在5分就提高了疼痛强度得分、从10分钟开始提高疼痛强度差异和疼痛缓解得分。87%的患者选择在研究期结束后继续治疗。PecFent®对患者具有良好的耐受性。
在110例患者的进一步疗效和安全性研究中,PecFent®的效果与立即释放硫酸ma啡片(IRMS)的效果进行了比较。患者在口服ma啡时出现了1到4次突破性疼痛发作。与IRMS相比,PecFent®显著改善了PID15 (15分钟时与基线的疼痛强度差异)评分。57.5%的PecFent治疗组在5分钟和30分钟时疼痛缓解改善显著,95.7%的PecFent治疗组在10分钟时达到有临床意义的疼痛缓解时间为52.4%。结论是PecFent®提供比IRMS更快的疼痛缓解,并且耐受性良好[62]。PecFent®于2009年在欧洲和2011年在美国被批准上市。这是一个非常简单的很适合有良好吸收,但持续效果短的分太尼鼻腔给药系统案例。PecFent®配方使药物的吸收更受控制,效果更长。
2.5.聚乙二醇羟基脂肪酸酯 — CriticalSorbTM
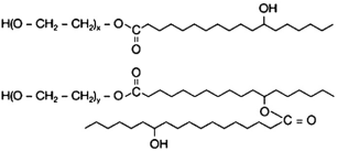
Critical Pharmaceuticals Ltd.发现了聚乙二醇羟基脂肪酸酯是有效的粘膜吸收促进剂,能够促进药物穿过粘膜上皮细胞的转运。其中之一,聚乙二醇15羟基硬脂酸酯(硬脂酸单酯和二酯的混合物),被指定为CriticalSorbTM,正在开发作为亲水性小分子以及肽和蛋白质的鼻腔递送系统(图5)。
图5 聚乙二醇15羟基硬脂酸(单脂和双酯)
很少有出版物描述使用CriticalSorbTM作为鼻腔吸收促进剂所获得的结果,但在CRS和AAPS等会议上进行了一些展示和宣传和结果的描述。下面给出了一些例子。Macrogol 15羟基硬脂酸酯是FDA普遍认为安全的 (GRAS) 材料。它在美国和欧盟拥有药物主文件 (DMF),并附有支持毒性包和欧洲药典专着。它还在静脉注射和口服销售产品中用作增溶赋形剂(AAPS,2011年11月在华盛顿举行的会议)。
在Caco-2细胞层和肌肉剥离的大鼠结肠粘膜中进行了CriticalSorbTM的作用机制研究[63]。结果发现,0.1%的CriticalSorbTM增加了细胞旁标记物14C-甘露醇和FITC-葡聚糖4000Da通过Caco-2单层细胞和大鼠结肠粘膜的渗透。暴露Caco-2细胞单层2小时后,TEER下降60%,但暴露于大鼠结肠粘膜后仅下降30%。此外,还发现,使用相同浓度的CriticalSorbTM时,跨细胞标记分子14C-安替比林的转运通量高于细胞旁标记分子穿过Caco-2细胞单层和大鼠结肠粘膜的通量。同一项研究还表明,浓度在0.001~0.01%之间,用CriticalSorbTM处理的Caco-2细胞通过MTT和LDH细胞毒性测试是不受影响的。这些研究表明,CriticalSorbTM主要作为跨细胞吸收促进剂,对粘膜组织无毒。
在有意识的大鼠研究中,基于AUC 0-1h,发现CriticalSorbTM与胰岛素(4IU/kg)一起在简单溶液中给药后,相比100%吸收的皮下注射,可有效促进鼻腔吸收的生物利用度[64]。胰岛素鼻对照显示生物利用度接近于零。在一项类似的研究中,还表明,当人生长激素(hGH)(5mg/kg)以简单的溶液配方经鼻给予有意识的大鼠时,药代动力学结果显示相对生物利用度为49.9%(基于AUC0–2h),相比于hGH对照溶液的生物利用度为0.7% [65]。hGH的鼻生物利用度是清醒大鼠研究中报道的最高水平,并且高于麻醉大鼠Intravail®研究中发现的结果。
后来的出版物提供了给有意识的大鼠使用包含CriticalSorbTM和人类生长激素的溶液制剂研究的进一步细节[66]。因此,与皮下注射相比,递增CriticalSorbTM浓度(5.0、7.5和10.0%)分别与0.063M磷酸盐缓冲液中的5mg/kg hGH 相结合,相对生物利用度(基于AUC0-2h)分别为17.4、34.4和49.9% ,而对于10% CriticalSorbTM制剂,根据AUC0–6h计算,生物利用度为32.4%。这些研究还表明,在溶液制剂中,以mg:mg计,CriticalSorbTM:hGH的最佳比例为4:1时,鼻内给药后可获得最高的AUC。在液体CriticalSorbTM -hGH 制剂中添加羧甲基纤维素或结冷胶形式的生物粘合剂或胶凝剂,可将相对生物利用度提高至63.4%(基于AUC 0-2h),而没有生物粘合剂,赋形剂的生物利用度为49.9%。这种效应很可能是由于制剂与鼻粘膜保持较长时间的接触,壳聚糖也如此[34]。
还对大鼠进行了五天重复鼻剂量毒性研究[34]。治疗组每天单次鼻腔给药100ml制剂,持续五天,其中包括PBS中的7.5%CriticalSorbTM溶液、PBS中的7.5%CriticalSorbTM-hGH或PBS 对照。没有证据表明组或治疗对鼻腔黏膜有相关影响。一份新闻稿(2011年3月)还公布了对大鼠进行6个月Critical-SorbTM溶液的重复鼻腔给药结果。临床观察、体重、食物或水消耗、眼底镜检查、血液学、血液化学、尿液分析或尸检均未发现不良反应。此外,组织病理学检查显示任何剂量均未对健康产生不良影响,且处于“未观察到不良影响水平”(因此,NOAEL)被认为是测试的最高剂量。
Critical Pharmaceuticals也在2009年10月宣布,它已启动人类生长激素(hGH)鼻喷雾剂的1期临床试验,使用CriticalSorbTM技术作为注射的替代方案。2011年5月宣布,正在进行的鼻用CriticalSorbTM-hGH制剂1期项目的临床数据显示,它能够诱导IGF-1达到与皮下注射市售产品相同的水平。IGF-1是体内hGH活性的主要介质,也是临床相关的生物活性指标。其他致力于鼻用 hGH产品的公司尚未宣布或发表任何类似的成果。Critical Pharmaceuticals还宣布(2011年3月),完成了一项CriticalSorbTM-hGH制剂反复鼻内给药的慢性毒性研究在14天的时间里,还表现出优异的耐受性,没有不良反应报告。
因此,CriticalSorbTM-hGH鼻用产品目前正处于临床开发阶段。每日1次或2次喷雾的鼻用hGH产品将是替代目前每日注射hGH的令人兴奋的新产品。看到他们公司发布的药代动力学和药效学数据是很有趣的。
3. 吸收促进剂的未来发展方向
显然,本综述中描述的新型吸收促进剂已成功地在效率和安全性/毒性之间取得了比以前更好的平衡,尽管慢性鼻腔治疗中潜在的长期毒性尚未完全消除。案例得到了充分评估。同样明显的是,下一个十年市场上将出现一系列采用上述吸收促进剂作为重要成分的新产品,特别是对于不易通过鼻粘膜吸收的药物。此外,一个重要且尚未开发的研究领域是潜在地利用鼻腔途径,通过鼻腔内的嗅觉区域或三叉神经系统将药物直接转运至中枢神经系统(CNS),从而绕过血脑屏障。关于小分子量药物以及肽和蛋白质在动物模型中从鼻到脑转运药物的文献中出现了许多报告,主要使用大鼠模型[67-72]。然而,与鼻腔内的药物量相比,普遍能到达中枢神经系统的药物量较少,一般低于 1%。鼻-脑输送的主要问题首先是难以到达鼻子的嗅觉区域,其次,至少对于肽和蛋白质来说,增加穿过嗅膜的运输。因此,需要一种能够将制剂递送至嗅觉区域的鼻装置和一种包括鼻吸收促进剂和生物粘附材料的递送系统,该生物粘附材料能够增加药物进入中枢神经系统的渗透。此类研究最近开始出现在文献中,通过采用新颖的递送概念和吸收促进剂来提高药物在大脑中的“生物利用度” [66,68,69]。
4.结论
本综述详细描述了吸收促进剂和吸收调节剂,如CPE-215®、Intravail®、ChiSysTM、PecSys TM、CriticalSorbTM,它们目前被CPEX Pharma、Aegis Therapeutics、ArchimedesPharma Ltd、Critical Pharmaceuticals Ltd公司用于一系列药物的商业开发中。吸收促进剂一般是针对肽和蛋白质药物而开发的,但这些产品尚未进入市场,一般仍处于临床开发阶段。进度最快的含有吸收促进剂的鼻用产品是鼻用壳聚糖-ma啡制剂,该制剂正处于第3阶段。吸收调节剂PecSysTM已用于开发鼻用分太尼喷雾剂PecFent®,该喷雾剂现已在两种市场上上市:欧洲和美国。PecFent®调节快速吸收的分太尼的药代动力学,使Cmax较低,并且tmax仍然很短。此外,当制剂在鼻腔中保留更长时间时,它还能够通过减慢吸收来延长药物的作用。未来十年很可能会看到一系列不易通过鼻途径吸收的药物(例如肽和蛋白质)进入市场,特别是使用 Intravail®和CriticalSorbTM吸收促进剂。
参考文献:略
